高一物理必修一知识点总结
物理学是研究物质运动最一般规律和物质基本结构的学科。要想学好物理,首先就是要掌握它的知识点。下面是小编给大家整理的高一物理必修一知识点,欢迎大家阅读学习。

高一物理必修一知识点
(一)运动的描述
1.内容标准
(1)通过史实,初步了解近代实验科学产生的背景,认识实验对物理学发展的推动作用。
例1 了解亚里士多德 关于力与运动的主要观点和研究方法。
例2 了解伽利略 的实验研究工作,认识伽利略有关实验的科学思想和方法 。
(2)通过对质点 的认识,了解物理学研究中物理模型的特点,体会物理模型在探索自然规律中的作用。
例3 认识在哪些情况下,可以把物体看成质点。
(3)经历匀变速直线运动 的实验研究过程,理解位移、速度和加速度,了解匀变速直线运动的规律,体会实验在发现自然规律中的作用。
例4 用打点计时器 、频闪照相或其他实验方法研究匀变速直线运动。
例5 通过史实,了解伽利略研究自由落体运动 所用的实验和推理方法。
(4)能用公式和图像描述 匀变速直线运动,体会数学在研究物理问题中的重要性。
2.活动建议
(1)通过实验研究质量相同、大小不同的物体在空气中下落的情况,从中了解空气对落体运动的影响。
(2)通过查找资料等方式,了解并讨论伽利略对物体运动的研究在科学发展和人类进步上的重大意义。
(二)相互作用与运动规律
1.内容标准
(1)通过实验认识滑动摩擦 、静摩擦 的规律,能用动摩擦因数 计算摩擦力。
(2)知道常见的形变,通过实验了解物体的弹性,知道胡克定律 。
例1 调查日常生活和生产中所用弹簧的形状及使用目的(如获得弹力或减缓振动等)。
例2 制作一个简易弹簧秤 ,用胡克定律解释其工作原理。
(3)通过实验,理解力的合成与分解,知道共点力的平衡条件,区分矢量与标量,用力的合成与分解分析日常生活中的问题。
例3 研究两个大小相等的共点力在不同夹角时的合力大小。
(4)通过实验,探究加速度与物体质量、物体受力的关系。理解牛顿运动定律 ,用牛顿运动定律解释生活中的有关问题。通过实验认识超重和失重现象。
例4 通过实验测量加速度、力、质量,分别作出表示加速度与力、加速度与质量的关系的图像,根据图像写出加速度与力、质量的关系式。体会探究过程中所用的科学方法 。
例5 根据牛顿第二定律 说明物体所受的重力与质量的关系。
(5)认识单位制在物理学中的重要意义。知道国际单位制中的力学单位。
例6 在等式 中给定k= 1,从而定义力的单位。
2.活动建议
(1)调查日常生活和生产中利用静摩擦 的事例。
(2)通过各种活动,例如乘坐电梯、到游乐场乘坐过山车等,了解和体验失重与超重。
(3)根据牛顿第二定律,设计一种能显示加速度大小的装置。
(4)通过听讲座、看录像等活动,了解宇航员的生活,了解在人造卫星上进行微重力 条件下的实验,尝试设计一种在人造卫星或宇宙飞船上进行微重力条件下的实验方案。
高一物理必修一知识点总结
一、运动学的基本概念
1、参考系: 运动是绝对的,静止是相对的。一个物体是运动的还是静止的,都是相对于参考系在而言的。通常以地面为参考系。
2、质点:
(1)定义:用来代替物体的有质量的点。质点是一种理想化的模型,是科学的抽象。
(2)物体可看做质点的条件:研究物体的运动时,物体的大小和形状对研究结果的影响可以忽略。且物体能否看成质点,要具体问题具体分析。
(3)物体可被看做质点的几种情况:
①平动的物体通常可视为质点。
②有转动但相对平动而言可以忽略时,也可以把物体视为质点。
③同一物体,有时可看成质点,有时不能.当物体本身的大小对所研究问题的影响不能忽略时,不能把物体看做质点,反之,则可以。
【注】质点并不是质量很小的点,要区别于几何学中的“点”。
3、时间和时刻:
时刻是指某一瞬间,用时间轴上的一个点来表示,它与状态量相对应;时间是指起始时刻到终止时刻之间的间隔,用时间轴上的一段线段来表示,它与过程量相对应。
4、位移和路程:
位移用来描述质点位置的变化,是质点的由初位置指向末位置的有向线段,是矢量;
路程是质点运动轨迹的长度,是标量。
5、速度:
用来描述质点运动快慢和方向的物理量,是矢量。
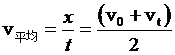
(1)平均速度:是位移与通过这段位移所用时间的比值,其定义式为,方向与位移的方向相同。平均速度对变速运动只能作粗略的描述。
(2)瞬时速度:是质点在某一时刻或通过某一位置的速度,瞬时速度简称速度,它可以精确变速运动。瞬时速度的大小简称速率,它是一个标量。
6、加速度:用量描述速度变化快慢的的物理量,其定义式为

加速度是矢量,其方向与速度的变化量方向相同(注意与速度的方向没有关系),大小由两个因素决定。
补充:速度与加速度的关系
1、速度与加速度没有必然的关系,即:
(1)速度大,加速度不一定也大;
(2)加速度大,速度不一定也大;
(3)速度为零,加速度不一定也为零;
(4)加速度为零,速度不一定也为零。
2、当加速度a与速度V方向的关系确定时,则有:
(1)若a 与V方向相同时,不管a如何变化,V都增大。
(2)若a 与V方向相反时,不管a如何变化,V都减小。
二、匀变速直线运动的规律及其应用
1、定义:在任意相等的时间内速度的变化都相等的直线运动。
2、匀变速直线运动的基本规律,可由下面四个基本关系式表示:
(1)速度公式
(2)位移公式

(3)速度与位移式
(4)平均速度公式

3、几个常用的推论:
(1)任意两个连续相等的时间T内的位移之差为恒量
△x=x2-x1=x3-x2=……=xn-xn-1=aT2
(2)某段时间内时间中点瞬时速度等于这段时间内的平均速度,

。
(3)一段位移内位移中点的瞬时速度v中与这段位移初速度v0和末速度vt的关系为

。
4、初速度为零的匀加速直线运动的比例式(2)初速度为零的匀变速直线运动中的几个重要结论:
①1T末,2T末,3T末……瞬时速度之比为:
v1∶v2∶v3∶……∶vn=1∶2∶3∶……∶n
②第一个T内,第二个T内,第三个T内……第n个T内的位移之比为:
x1∶x2∶x3∶……∶xn=1∶3∶5∶……∶(2n-1)
③1T内,2T内,3T内……位移之比为:
xⅠ∶xⅡ∶xⅢ∶……∶xN=1∶4∶9∶……∶n2
④通过连续相等的位移所用时间之比为:
t1∶t2∶t3∶……∶tn=
三、自由落体运动,竖直上抛运动
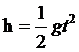
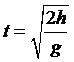
1、自由落体运动:只在重力作用下由静止开始的下落运动,因为忽略了空气的阻力,所以是一种理想的运动,是初速度为零、加速度为g的匀加速直线运动。
2、自由落体运动规律:
①速度公式:
②位移公式:

③速度—位移公式:
④下落到地面所需时间:

3、竖直上抛运动:
可以看作是初速度为v0,加速度方向与v0方向相反,大小等于的g的匀减速直线运动,可以把它分为向上和向下两个过程来处理。
(1)竖直上抛运动规律
①速度公式:
②位移公式:

③速度—位移公式:
两个推论:
上升到最高点所用时间:

上升的最大高度:

(2)竖直上抛运动的对称性
如下图,物体以初速度v0竖直上抛, A、B为途中的任意两点,C为最高点,则:

(1)时间对称性
物体上升过程中从A→C所用时间tAC和下降过程中从C→A所用时间tCA相等,同理tAB=tBA。
(2)速度对称性
物体上升过程经过A点的速度与下降过程经过A点的速度大小相等。
【注】在竖直上抛运动中,当物体经过抛出点上方某一位置时,可能处于上升阶段,也可能处于下降阶段,因此这类问题可能造成时间多解或者速度多解。
四、运动的图象,运动的相遇和追及问题
1、图象:
(1)x—t图象
①物理意义:反映了做直线运动的物体的位移随时间变化的规律。
②表示物体处于静止状态
③图线斜率的意义:
图线上某点切线的斜率的大小表示物体速度的大小;
图线上某点切线的斜率的正负表示物体方向。
④两种特殊的x-t图象
匀速直线运动的x-t图象是一条过原点的直线;
若x-t图象是一条平行于时间轴的直线,则表示物体处于静止状态。
(2)v—t图象
①物理意义:反映了做直线运动的物体的速度随时间变化的规律。
②图线斜率的意义:
a. 图线上某点切线的斜率的大小表示物体运动的加速度的大小
b. 图线上某点切线的斜率的正负表示加速度的方向
③图象与坐标轴围成的“面积”的意义:
a. 图象与坐标轴围成的面积的数值表示相应时间内的位移的大小。
b. 若此面积在时间轴的上方,表示这段时间内的位移方向为正方向;若此面积在时间轴的下方,表示这段时间内的位移方向为负方向。
③常见的两种图象形式:
a. 匀速直线运动的v-t图象是与横轴平行的直线
b. 匀变速直线运动的v-t图象是一条倾斜的直线
2、相遇和追及问题:
这类问题的关键是两物体在运动过程中,速度关系和位移关系,要注意寻找问题中隐含的临界条件,通常有两种情况:
(1)物体A追上物体B:开始时,两个物体相距x0,则A追上B时必有,且。
(2)物体A追赶物体B:开始时,两个物体相距x0,要使A与B不相撞,则有
易错现象:
1、混淆x—t图象和v-t图象,不能区分它们的物理意义
2、不能正确计算图线的斜率、面积
3、在处理汽车刹车、飞机降落等实际问题时注意,汽车、飞机停止后不会后退
五、力/重力/弹力/摩擦力
1、力:
力是物体之间的相互作用,有力必有施力物体和受力物体。力的大小、方向、作用点叫力的三要素。用一条有向线段把力的三要素表示出来的方法叫力的图示。
按照力命名的依据不同,可以把力分为:
①按性质命名的力(例如:重力、弹力、摩擦力、分子力、电磁力等。)
②按效果命名的力(例如:拉力、压力、支持力、动力、阻力等)。
力的作用效果:
①形变;
②改变运动状态.
2、重力:
由于地球的吸引而使物体受到的力。重力的大小G=mg,方向竖直向下。作用点叫物体的重心;重心的位置与物体的质量分布和形状有关。质量均匀分布,形状规则的物体的重心在其几何中心处。薄板类物体的重心可用悬挂法确定。
注意:重力是万有引力的一个分力,另一个分力提供物体随地球自转所需的向心力,在两极处重力等于万有引力。由于重力远大于向心力,一般情况下近似认为重力等于万有引力。
3、弹力:
(1)内容:发生形变的物体,由于要恢复原状,会对跟它接触的且使其发生形变的物体产生力的作用,这种力叫弹力。
(2)条件:①接触;②形变。但物体的形变不能超过弹性限度。
(3)弹力的方向和产生弹力的那个形变方向相反。(平面接触面间产生的弹力,其方向垂直于接触面;曲面接触面间产生的弹力,其方向垂直于过研究点的曲面的切面;点面接触处产生的弹力,其方向垂直于面、绳子产生的弹力的方向沿绳子所在的直线。)
(4)大小:
①弹簧的弹力大小由F=kx计算
②一般情况弹力的大小与物体同时所受的其他力及物体的运动状态有关,应结合平衡条件或牛顿定律确定
4、摩擦力:
(1)摩擦力产生的条件:接触面粗糙、有弹力作用、有相对运动(或相对运动趋势),三者缺一不可
(2)摩擦力的方向:跟接触面相切,与相对运动或相对运动趋势方向相反,但注意摩擦力的方向和物体运动方向可能相同,也可能相反,还可能成任意角度。
(3)摩擦力的大小:
① 滑动摩擦力:
说明:
a. FN为接触面间的弹力,可以大于G;也可以等于G;也可以小于G
b. 为滑动摩擦系数,只与接触面材料和粗糙程度有关,与接触面积大小、接触面相对运动快慢以及正压力FN无关。
② 静摩擦:由物体的平衡条件或牛顿第二定律求解,与正压力无关。
大小范围0<f静<fm p="" (fm为最大静摩擦力,与正压力有关)
静摩擦力的具体数值可用以下方法来计算:一是根据平衡条件,二是根据牛顿第二定律求出合力,然后通过受力分析确定。
(4)注意事项:
a. 摩擦力可以与运动方向相同,也可以与运动方向相反,还可以与运动方向成一定夹角。
b. 摩擦力可以作正功,也可以作负功,还可以不作功。
c. 摩擦力的方向与物体间相对运动的方向或相对运动趋势的方向相反。
d. 静止的物体可以受滑动摩擦力的作用,运动的物体可以受静摩擦力的作用。
易错现象:
1. 不会确定系统的重心位置
2. 没有掌握弹力、摩擦力有无的判定方法
3. 静摩擦力方向的确定错误
六、力的合成和分解
1、标量和矢量:
(1)将物理量区分为矢量和标量体现了用分类方法研究物理问题。
(2)矢量和标量的根本区别在于它们遵从不同的运算法则:标量用代数法;矢量用平行四边形定则或三角形定则。
(3)同一直线上矢量的合成可转为代数法,即规定某一方向为正方向,与正方向相同的物理量用正号代人,相反的用负号代人,然后求代数和,最后结果的正、负体现了方向,但有些物理量虽也有正负之分,运算法则也一样,但不能认为是矢量,最后结果的正负也不表示方向,如:功、重力势能、电势能、电势等。
2、力的合成与分解:
(1)合力与分力
(2)共点力的合成:
1、共点力
几个力如果都作用在物体的同一点上,或者它们的作用线相交于同一点,这几个力叫共点力。
2、力的合成方法
求几个已知力的合力叫做力的合成。

3、平行四边形定则:
两个互成角度的力的合力,可以用表示这两个力的有向线段为邻边,作平行四边形,它的对角线就表示合力的大小及方向,这是矢量合成的普遍法则。
求、的合力公式:
注意:
(1)力的合成和分解都均遵从平行四边行法则。
(2)两个力的合力范围:
(3)合力可以大于分力、也可以小于分力、也可以等于分力
(4)两个分力成直角时,用勾股定理或三角函数。
注意事项:
(1)力的合成与分解,体现了用等效的方法研究物理问题
(2)合成与分解是为了研究问题的方便而引入的一种方法,用合力来代替几个力时必须把合力与各分力脱钩,即考虑合力则不能考虑分力,同理在力的分解时只考虑分力,而不能同时考虑合力
(3)共点的两个力合力的大小范围是:|F1-F2|≤F合≤Fl+F2
(4)共点的三个力合力的最大值为三个力的大小之和,最小值可能为零
(5)力的分解时要认准力作用在物体上产生的实际效果,按实际效果来分解
(6)力的正交分解法是把作用在物体上的所有力分解到两个互相垂直的坐标轴上,分解最终往往是为了求合力(某一方向的合力或总的合力)
易错现象:
1. 对含静摩擦力的合成问题没有掌握其可变特性
2. 不能按力的作用效果正确分解力
3. 没有掌握正交分解的基本方法
七、受力分析
1、受力分析:
要根据力的概念,从物体所处的环境(与多少物体接触,处于什么场中)和运动状态着手,其常规如下:
(1)确定研究对象,并隔离出来;
(2)先画重力,然后弹力、摩擦力,再画电、磁场力;
(3)检查受力图,找出所画力的施力物体,分析结果能否使物体处于题设的运动状态(静止或加速),否则必然是多力或漏力;
(4)合力或分力不能重复列为物体所受的力
2、整体法和隔离体法
(1)整体法:就是把几个物体视为一个整体,受力分析时,只分析这一整体之外的物体对整体的作用力,不考虑整体内部之间的相互作用力。
(2)隔离法:就是把要分析的物体从相关的物体系中假想地隔离出来,只分析该物体以外的物体对该物体的作用力,不考虑物体对其它物体的作用力。
(3)方法选择
所涉及的物理问题是整体与外界作用时,应用整体分析法,可使问题简单明了,而不必考虑内力的作用;当涉及的物理问题是物体间的作用时,要应用隔离分析法,这时原整体中相互作用的内力就会变为各个独立物体的外力。
3、注意事项:
正确分析物体的受力情况,是解决力学问题的基础和关键,在具体操作时应注意:
(1)弹力和摩擦力都是产生于相互接触的两个物体之间,因此要从接触点处判断弹力和摩擦力是否存在,如果存在,则根据弹力和摩擦力的方向,画好这两个力
(2)画受力图时要逐一检查各个力,找不到施力物体的力一定是无中生有的.同时应只画物体的受力,不能把对象对其它物体的施力也画进去
易错现象:
1. 不能正确判定弹力和摩擦力的有无;
2. 不能灵活选取研究对象;
3. 受力分析时受力与施力分不清。
八、共点力作用下物体的平衡
1、物体的平衡:
物体的平衡有两种情况:一是质点静止或做匀速直线运动;二是物体不转动或匀速转动(此时的物体不能看作质点)
2、共点力作用下物体的平衡:
①平衡状态:静止或匀速直线运动状态,物体的加速度为零
②平衡条件:合力为零,亦即F合=0或∑Fx=0,∑Fy=0
a、二力平衡:这两个共点力必然大小相等,方向相反,作用在同一条直线上。
b、三力平衡:这三个共点力必然在同一平面内,且其中任何两个力的合力与第三个力大小相等,方向相反,作用在同一条直线上,即任何两个力的合力必与第三个力平衡
c、若物体在三个以上的共点力作用下处于平衡状态,通常可采用正交分解,必有:
F合x= F1x+ F2x + ………+ Fnx =0
F合y= F1y+ F2y + ………+ Fny =0 (按接触面分解或按运动方向分解)
③平衡条件的推论:
当物体处于平衡状态时,它所受的某一个力与所受的其它力的合力等值反向;
当三个共点力作用在物体(质点)上处于平衡时,三个力的矢量组成一封闭的三角形按同一环绕方向。
3、平衡物体的临界问题:
当某种物理现象(或物理状态)变为另一种物理现象(或另一物理状态)时的转折状态叫临界状态。可理解成“恰好出现”或“恰好不出现”。
临界问题的分析方法:
极限分析法:通过恰当地选取某个物理量推向极端(“极大”、“极小”、“极左”、“极右”)从而把比较隐蔽的临界现象(“各种可能性”)暴露出来,便于解答。
易错现象:
(1)不能灵活应用整体法和隔离法;
(2)不注意动态平衡中边界条件的约束;
(3)不能正确制定临界条件。
九、牛顿运动三定律
1、牛顿第一定律:
(1)内容:一切物体总保持匀速直线运动状态或静止状态,直到有外力迫使它改变这种状态为止
(2)理解:
①它说明了一切物体都有惯性,惯性是物体的固有性质.质量是物体惯性大小的量度(惯性与物体的速度大小、受力大小、运动状态无关)
②它揭示了力与运动的关系:力是改变物体运动状态(产生加速度)的原因,而不是维持运动的原因
③它是通过理想实验得出的,它不能由实际的实验来验证
2、牛顿第二定律:
内容:物体的加速度a跟物体所受的合外力F成正比,跟物体的质量m成反比,加速度的方向跟合外力的方向相同
公式:
理解:
①瞬时性:力和加速度同时产生、同时变化、同时消失
②矢量性:加速度的方向与合外力的方向相同
③同体性:合外力、质量和加速度是针对同一物体(同一研究对象)
④同一性:合外力、质量和加速度的单位统一用SI制主单位⑤相对性:加速度是相对于惯性参照系的
3、牛顿第三定律:
(1)内容:
两个物体之间的作用力和反作用力总是大小相等,方向相反,作用在一条直线上
(2)理解:
①作用力和反作用力的同时性。它们是同时产生,同时变化,同时消失,不是先有作用力后有反作用力。
②作用力和反作用力的性质相同,即作用力和反作用力是属同种性质的力。
③作用力和反作用力的相互依赖性:它们是相互依存,互以对方作为自己存在的前提。
④作用力和反作用力的不可叠加性。作用力和反作用力分别作用在两个不同的物体上,各产生其效果,不可求它们的合力,两力的作用效果不能相互抵消。
4、牛顿运动定律的适用范围:
对于宏观物体低速的运动(运动速度远小于光速的运动),牛顿运动定律是成立的,但对于物体的高速运动(运动速度接近光速)和微观粒子的运动,牛顿运动定律就不适用了,要用相对论观点、量子力学理论处理。
易错现象:
(1)错误地认为惯性与物体的速度有关,速度越大惯性越大,速度越小惯性越小;另外一种错误是认为惯性和力是同一个概念。
(2)不能正确地运用力和运动的关系分析物体的运动过程中速度和加速度等参量的变化。
(3)不能把物体运动的加速度与其受到的合外力的瞬时对应关系正确运用到轻绳、轻弹簧和轻杆等理想化模型上。
十、牛顿运动定律的应用(一)
1、运用牛顿第二定律解题的基本思路
(1)通过认真审题,确定研究对象
(2)采用隔离体法,正确受力分析
(3)建立坐标系,正交分解力
(4)根据牛顿第二定律列出方程
(5)统一单位,求出答案
2、解决连接体问题的基本方法是:
(1)选取最佳的研究对象。选取研究对象时可采取“先整体,后隔离”或“分别隔离”等方法.一般当各部分加速度大小、方向相同时,可当作整体研究,当各部分的加速度大小、方向不相同时,要分别隔离研究
(2)对选取的研究对象进行受力分析,依据牛顿第二定律列出方程式,求出答案
3、解决临界问题的基本方法是:
(1)要详细分析物理过程,根据条件变化或随着过程进行引起的受力情况和运动状态变化,找到临界状态和临界条件
(2)在某些物理过程比较复杂的情况下,用极限分析的方法可以尽快找到临界状态和临界条件
易错现象:
(1)加速系统中,有些同学错误地认为用拉力F直接拉物体与用一重力为F的物体拉该物体所产生的加速度是一样的。
(2)在加速系统中,有些同学错误地认为两物体组成的系统在竖直方向上有加速度时支持力等于重力。
(3)在加速系统中,有些同学错误地认为两物体要产生相对滑动拉力必须克服它们之间的最大静摩擦力。
十一、牛顿运动定律的应用(二)
1、动力学的两类基本问题:
(1)已知物体的受力情况,确定物体的运动情况,基本解题思路是:
①根据受力情况,利用牛顿第二定律求出物体的加速度
②根据题意,选择恰当的运动学公式求解相关的速度、位移等
(2)已知物体的运动情况,推断或求出物体所受的未知力.基本解题思路是:
①根据运动情况,利用运动学公式求出物体的加速度
②根据牛顿第二定律确定物体所受的合外力,从而求出未知力
(3)注意点:
①运用牛顿定律解决这类问题的关键是对物体进行受力情况分析和运动情况分析,要善于画出物体受力图和运动草图.不论是哪类问题,都应抓住力与运动的关系是通过加速度这座桥梁联系起来的这一关键
②对物体在运动过程中受力情况发生变化,要分段进行分析,每一段根据其初速度和合外力来确定其运动情况;某一个力变化后,有时会影响其他力,如弹力变化后,滑动摩擦力也随之变化
2、关于超重和失重:
在平衡状态时,物体对水平支持物的压力大小等于物体的重力。当物体在竖直方向上有加速度时,物体对支持物的压力就不等于物体的重力。当物体的加速度方向向上时,物体对支持物的压力大于物体的重力,这种现象叫超重现象。
当物体的加速度方向向下时,物体对支持物的压力小于物体的重力,这种现象叫失重现象。对其理解应注意以下三点:
(1)当物体处于超重和失重状态时,物体的重力并没有变化
(2)物体是否处于超重状态或失重状态,不在于物体向上运动还是向下运动,即不取决于速度方向,而是取决于加速度方向
(3)当物体处于完全失重状态(a=g)时,平常一切由重力产生的物理现象都会完全消失,如单摆停摆、天平失效、浸在水中的物体不再受浮力、液体柱不再产生向下的压强等
易错现象:
(1)当外力发生变化时,若引起两物体间的弹力变化,则两物体间的滑动摩擦力一定发生变化,往往有些同学解题时仍误认为滑动摩擦力不变。
(2)些同学在解比较复杂的问题时不认真审清题意,不注意题目条件的变化,不能正确分析物理过程,导致解题错误。
(3)一些同学对超重、失重的概念理解不清,误认为超重就是物体的重力增加啦,失重就是物体的重力减少了。
高一物理怎么学才能学好?
学习物理非常注重过程,一个认知、理解、运用的过程。
1.认知:利用身边的事物或现象甚至是老师叙述的一些例子来帮助自己去充分认识它,对它产生兴趣。
2.理解:用理解的方式去记忆公式、定理、试验等等。可以用形象思维等等巧妙的方法去理解和记忆。例如,什么是真空,可以这样去理解:真空就是真的空了,什么都没有了。
3.运用:一类是来应付考试,另一类则是来解释身边得一些物理现象。
所以,在学习时,首先,不要有惧怕的心理,因为你前一段没学好的经历可能会暗示你什么,这可能会导致你恶性循环。努力告诉自己“我能行!!!”其实心理暗示很有用哦!不过,为了给自己增加底气,最好还是做好预习工作,做到心里有数。
其次,上课要紧跟老师的思路,适当地记些笔记,记一些书本上没有明确阐明的甚至是遗漏的以及自己容易出错的知识点。课下抽时间多练一练,别以任何理由来推托,从而放弃了练习的最佳时期,最后只能导致悲剧的发生。
最后一点也是最重要的一点,就是一定要做好及时总结。例如,上次考试的卷子发下来了,虽然认真订正过了,但还要想想为什么会错?正确答案是怎么算出来的?如果下次再考到还会错吗?等等。
我想,通过这些学习方法,一定能学好物理的。
高一物理必修一知识点总结相关文章:
